韦德网站官方入口
Home
About Us
≡
Chairman's Address
Overview
Milestones
Guobang Culture
Honors
Group members
Products
≡
Pharmaceutical
Dynamic protection
Innovate
≡
Research Platform
Technological Cooperation
Research Outcomes
Development
≡
Green Development
Group Investment
Responsibility
≡
Philanthropy
Safe production
Join Guobang
≡
Employee Philosophy
Salary and Benefits
Jobs
Contact
≡
中文
About Us
Chairman's Address
Overview
Milestones
Guobang Culture
Honors
Group members
Products
Pharmaceutical
Dynamic protection
Innovate
Research Platform
Technological Cooperation
Research Outcomes
Development
Green Development
Group Investment
Responsibility
Philanthropy
Safe production
Join Guobang
Employee Philosophy
Salary and Benefits
Jobs
Contact Us
CN
Current position:Products
Pharmaceutical
Dynamic protection
guobang
Products
Establish business, develop a country
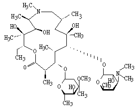
Azithromycin
英文名 :Azithromycin
CAS NO :83905-01-5
分子式 :C
38
H
72
N
2
O
12
【
Back
】
Related products
Name
View details
Clarithromycin
View details
Roxithromycin
View details
Total 2 Records
Page
About Us
Chairman's Address
Overview
Milestones
Guobang Culture
Honors
Group members
Products
Pharmaceutical
Dynamic protection
Innovate
Research Platform
Technological Cooperation
Research Outcomes
Development
Green Development
Group Investment
Join Guobang
Employee Philosophy
Salary and Benefits
Jobs
Mobile
WeChat
Service hotline
+86-575-8612-6555
Copyright (C) 2020,Guobang Pharmaceutical Group Co, Ltd. All Rights Reserved.Supported by ChemNet ChinaChemNet Toocle
Copyright Notice
网站地图